@ 차익거래가격결정모형 (Arbitrage Pricing Theory; APT)
CAPM에 대한 대안으로 제시된 모형인 차익거래가격결정모형(APT)에 대해서 학습해보려고 합니다.
동등한 자산 사이에 가격괴리가 존재할 떄 저평가된 자산을 사고 동시에 고평가된 자산을 팔아서 이익을 내는 것을 차익거래(Arbitrage)라고 합니다. 이번에는 균형시장에서 차익거래기회가 없으려면, 무투자 무위험 포트폴리오의 수익률이 제로가 되어야 한다는 개념에 근거한 차익거래가격결정모형(APT)의 도출 과정을 다룬 후, CAPM과의 차이점에 대해서 비교 설명하겠습니다.
ⓐ 차익거래의 개념
시장이 불균형상태에 있을 때 과대평가되어 있는 자산을 매도하고 과소평가되어 있는 자산을 매수하여 추가자금이나 추가위험을 부담하지 않은 상태에서 이익을 얻고자 하는 거래.
* 차익거래(Arbitrage)란?
서로 등가관계에 있는 두 개의 증권 간의 가격 차이로부터 이익을 내기 위해 고평가 증권을 매도하고 동시에 저평가 증권을 매수하는 거래를 말합니다. 만일 차익거래 기회가 존재하면 고평가 증권 매도, 저평가 증권 매수, 따라서 고평가 증권가격 하락, 저평가 증권가격이 상승하여 차익거래 기회가 사라지게 되므로, 균형시장에서 차익거래기회가 주어지지 않습니다.
1976년 Ross는 차익거래가격결정모형(APT; Arbitrage Pricing Theory)을 개발하였습니다(Stephen A. Ross, "The Arbitrage Theory of Capital Asset Pricing, " Journal of Economic Theory, December 1976).
ⓑ 차익거래분석
1) 가격을 이용한 차익거래
1단계 : 시장에서 거래되고 있는 다른 자산들을 이용해서 균형에서 벗어나 있는 자산과 미래 현금흐름 및 위험이 동일한 복제 포트폴리오를 구성한다.
2단계 : 균형에서 벗어나 있는 자산과 복제포트폴리오의 가격을 비교하여, 가격이 비싼 것을 매도하고 가격이 싼 것을 매수한다.
2) 수익률을 이용한 차익거래
1단계 : 시장에서 거래되고 있는 다른 자산들을 이용해서 균형에서 벗어나 있는 자산과 체계적 위험이 동일한 복제포트폴리오를 구성한다.
2단계 : 균형에서 벗어나 있는 자산과 복제포트폴리오의 기대수익률을 비교하여, 기대수익률이 낮은 것을 매도하고 높은 것을 매입한다.
ⓒ 차익거래포트폴리오
조건 : 추가적인 자금부담이 없어야 한다, 체계적 위험이 0이 되어야 한다, 비체계적 위험이 0이 되어야 합니다.
기대수익률은 0이 되어야 합니다.
차익거래가격결정이론
ⓐ APT의 도출
APT는 차익거래포트폴리오로 부터 도출되어 모든 자산의 기대수익률이 각 요인에 대한 민감도(체계적 위험)와 선형관계를 갖고 결정됩니다.
| Arbitrage Pricing Theory |
![]() |
λ0(람다)은 무위험자산의 수익률($R_i$)에 해당합니다.
ⓑ APT의 의미
람다$k$는 요인 $k$에 대한 요인포트폴리오의 위험프리미엄 또는 요인 $k$에 대한 민감도 1단위당 위험프리미엄을 의미합니다.
APT에 의하면 특정 자산의 기대수익률은 그 자산의 각 요인에 대한 민감도와 선형관계를 갖고 결정됩니다.
ⓒ CAPM과 APT의 관계
CAPM은 APT의 여러 가지 가능한 형태 중에서 자산의 수익률을 결정하는 공통요인이 시장포트폴리오의 수익률 하나뿐인 특수한 경우에 해당합니다.
APT가 더 크고 CAPM은 그 중 하나입니다.
시장포트폴리오에 대해 특별한 가정이 없는 APT는 실증검증이 용이하지만 CAPM은 진정한 시장포폴 구성이 어려워 실증검증이 어렵습니다.
APT의 한계점 : 자산의 수익률에 영향을 미치는 공통요인의 선정이 어렵습니다. APT에서 공통요인들이 서로 독립적이라고 가정하는데 현실에선 각 공통요인 간에 상호 관련성이 있을 수 있습니다.
1. APT의 수익률 생성과정
Ross의 APT는 다음 세개의 명제에 의존합니다.
(1) $i$ 주식의 수익률은 요인모형에 의해 설명된다.
(2) 고유위험을 분산시킬 수 있는 충분한 수의 증권이 존재한다.
(3) 증권시장이 효율적으로 작동하기 때문에 차익거래기회가 존속하지 못한다.
이러한 APT는 증권수익률이 시장포트폴리오수익률이라는 단일요인과 선형관계를 가진다는 CAPM에 비해 아래식과 같이 $k$개의 공통요인에 의해 생성된다고 가정하고 있어 CAPM보다 더 일반성을 갖습니다.
$\bigcirc$ 수익률
주식 $i$에 투자한 경우 얻을 수 있는 수익률 = 실현 수익률
실현수익률$(r_i) $= 기대수익률$[E(r_i)]$ + 예상 못한 수익률$(u_i)$
$\bigcirc$ 위험
주식 $i$에 대한 예상치 못한 수익률
- 시장에서 거래되는 자신의 수익률에 공통적으로 영향을 주는 공통요인에 의한 부분(체계적위험)
- 주식 $i$에만 영향을 주는 고유요인(비체계적위험)에 기인하는 부분



$\bigcirc$ 체계적 위험과 베타 : 요인모형
- 체계적위험에 따른 주식 $i$의 수익률 변동은 공통요인의 변동에 대한 주식 $i$의 민감도를 나타내는 베타계수로 측정 가능
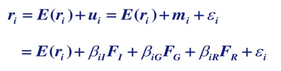
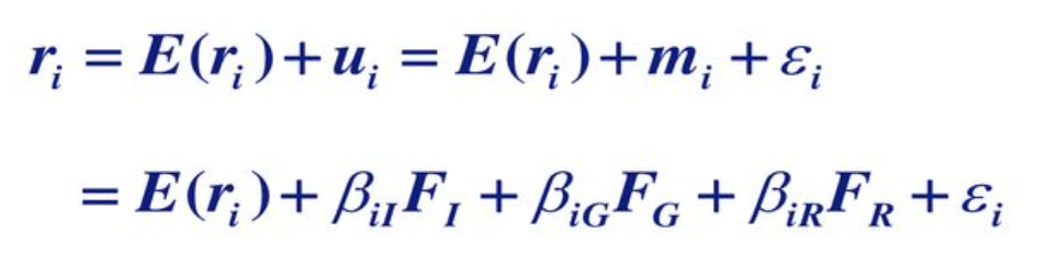
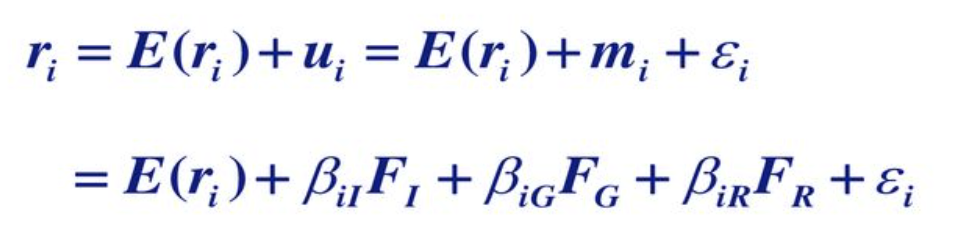
예) 체계적 위험의 공통요소로 세개의 공통요인 - 인플레이션(I), 국민총생산(G), 이자율(R) - 있다고 가정하면, 시장에서 거래하는 모든 주식은 세 요인에 대한 베타계수를 가질 것이며 아래와 같은 식으로 분해됨


$\bigcirc$ 요인모형의 일반화


$r_i = {\alpha}_i + {\beta}_{i1}F_1 + {\beta}_{i2}F_2 + \dots + {\beta}_{ik}F_k + {\varepsilon}_i$ --- (1)
여기서, $F_k = $ 모든 자산에 영향을 미치는 $k$번째 요인
${\beta}_{ik} = k$ 요인에 대한 $i$번째 자산수익률의 민감도
${\varepsilon}_i = i $ 번째 자산의 오차항
이 식의 기댓값을 구하면 아래 식이 됩니다.
$E(r_i) = {\alpha}_i + {\beta}_{i1}E(F_1) + {\beta}_{i2}E(F_2) + \dots + {\beta}_{ik}E(F_k)$ ---(2)
식(1) 에서 식(2)를 차감하여 정리하면 아래 식(3)의 수익률 생성과정이 도출됩니다.
$r_i = E(r_i) + {\beta}_{i1}[F_1 - E(F_1) ] + {\beta}_{i2}[F_2 - E(F_2) ] + \dots + {\beta}_{ik}[F_k - E(F_k)] + {\varepsilon}_i$ ---(3)
| 예제) 2요인모형 |
GNP 성장률과 물가상승률이 각각 5%와 8%로 기대되며, GNP 성장률과 물가상승률에 대한 베타계수가 각각 1과 0.8인 A기업 주식의 기대수익률이 15%이다. 만일 GNP 성장률이 6%, 물가상승률이 10%라면 주식의 기대수익률 수정추정치(revised estimate)는 얼마인가? 단, A기업 고유의(firm-specific) 요인에 의한 수익률 변동은 0이라고 가정한다. |
풀이)
$r_i = E(r_i) + {\beta}_{i1}[F_1 - E(F_1)] + {\beta}_{i2}[F_2 - E(F_2)] + {\varepsilon}_i$
= 0.15 + 1(0.06 - 0.05) + 0.8(0.1 - 0.08) + 0 = 17.6%
2. APT 도출
APT 를 도출하기 위해서 균형시장에서 고평가된 자산을 팔고 동시에 저평가된 자산을 사서 이익을 내는 차익거래기회가 없는 경우를 생각해 봅시다. 먼저, 설명의 편의상 공통요인 1개라고 가정하면 수익률은 식(4)와 같이 계산 할 수 있습니다.
$r_i = E(r_i) + {\beta}_i[F- E(F) ] + {\varepsilon}_i$ ---(4)
그리고, 균형상태에서 차익거래기회가 없으려면 추가적인 부(wealth)의 투자가 없어야 하고 위험도 부담하지 않는 무투자(zero-investment) 무위험(zero-beta, risk-free) 포트폴리오의 기대수익률이 0이 되어야 할 것입니다.
첫째, 무투자 포트폴리오는 기존 자산을 매각한 자금으로 추가적으로 자산을 매입하여 구성할 수 있습니다. 이를 식으로 표시하면 다음과 같으며, 투자비중은 $w_i$는 자산 매입의 경우 양(+), 매도의 경우 음(-)의 값을 가집니다.
$\sum_{i=1}^N w_i = 0$ 여기서, ${증권 i의 매입 (또는 매각) 대금 \over 기존의 총투자액}$ ---(5)
둘째, 무위험 포트폴리오는 각 증권의 체계적 위험 계수들의 가중평균을 0으로 하여 구성할 수 있으며, 고유위험을 분산시킬 수 있는 충분한 수의 증권들이 포함된다는 가정하에 비체계적 위험의 가중평균값은 0에 수렴한다. 이를 식으로 나타내면 다음과 같습니다.
$\sum_{i=1}^N w_i {\beta}_i = 0$ ---(6)
$\sum_{i=1}^N w_i {\varepsilon}_i \approx 0$ ---(7)
식(4)의 양변에 $w_i$를 곱한 후 모든 증권들에 대해 합해주면 포트폴리오 수익률을 구할 수 있습니다.
$\sum_{i=1}^N w_i r_i = \sum_{i=1}^N w_i E(r_i) + [F - E(F)] \sum_{i=1}^N w_i{\beta}_i + \sum_{i=1}^N w_i {\varepsilon}_i$ --- (8)
$\downarrow$ $\downarrow$ $\downarrow$
$r_p$ $=$ $E(r_p)$ $ + [E - E(F)] \sum_{i=1}^N w_i{\beta}_i + \sum_{i=1}^N w_i {\varepsilon}_i$ ---(9)
식(6)과 식(7)을 식(9)에 대입하면,
$r_p = E(r_p) $ ---(10)
무투자 ($\sum_{i=1}^N w_i = 0$) 무위험 ($\sum_{i=1}^N w_i {\beta}_i = 0$) 포트폴리오의 수익률 $r_p$ 는 균형상태에서 차익거래 기회가 없으려면 0, 즉 $r_p = 0$ 이 되어야 하므로 식 (10)에서 $E(r_p) = 0$이 되어야만 합니다. 이를 다시 정리하면,
$\sum_{i=1}^N w_i$ X 1 $ = 0$ $\sum_{i=1}^N w_i {\beta}_i = 0 $
$\rightarrow$ $\sum_{i=1}^N w_i E(r_i) = 0$
선형대수(linear algebra)의 표준정리(standard theorem)에 의하면 위의 세 식이 만족될 경우 $E(r_i)$는 다음과 같이 1과 ${\beta}_i$의 선형결합(linear combination)으로 표시될 수 있습니다 $ \P $.
$E(r_i) = a_0 + a_1 {\beta}_i$ ---(11)
이제, 식(11)의 $a_0$ 와 $a_i$이 무엇인지 찾기 위하여 베타가 0일 경우와 베타가 1일 경우의 포트폴리오를 생각해 봅시다.
첫째, $\sum_{i=1}^N w_1 = 1$ 이고 $\sum_{i=1}^N w_i {\beta} = 0$ (beta = 0)인 포트폴리오 Z가 있다고 합시다.
식(11)에 $w_i$를 곱하여 모든 $i$에 대해 더해주고, $r_p = r_z$인 점을 생각하면,
$\sum_{i=1}^N w_i E(r_i) = a_0 \sum_{i=1}^N w_i + \sum_{i=1}^N w_i {\beta}_i = a_0$ X 1 $ + a_1$ X 0
$\rightarrow$ $a_0 = E(r_z)$ ---(12)
여기서, 위험이 제로인(0)인 포트폴리오 (=포트폴리오 Z)의 기대수익률 $a_0 = E(r_z)$는 무위험수익률 $r_f$를 의미하며,
식(12)를 식(8)에 대입하면 아래 식(13)이 도출됩니다.
$E(r_i) = E(r_z) + a_1{\beta}_i$ ---(13)
둘째, $\sum_{i=1}^N w_i = 1$ 이고 $\sum_{i=1}^N w_i {\beta} = 1$(beta = 1)인 포트폴리오를 고려해 봅시다.
식(13)에 $w_i$를 곱하여 모든 $i$에 대해 더해주면,
$\sum_{i=1}^N w_i E(r_i) = E(r_z) \sum_{i=1}^N w_i + a_1 \sum_{i=1}^N w_i{\beta}_i$
$= E(r_z) + a_1$ $\rightarrow$ $a_1 = E(r_p) - E(r_z)$ ---(14)
식(14)를 식(13)에 대입하면, 식(15)가 됩니다.
$E(r_i) = E(r_z) + [E(r_p) - E(r_z)]{\beta}_i$ ---(15)
식(15)에서 베타가 1인 포트폴리오의 기대수익률 $E(r_p)$가 어떤 공통요인 $E(F)$라면 식(15)는 식(16)으로 변형됩니다.
$E(r_i) = E(r_z) + [E(F) - E(r_z)]{\beta}_i$ ---(16)
식(16)에서 어떤 공통요인을 $k$개로 확장하여 일반적으로 표현하면 기대수익률은 식(17)이 되고 이를 차익거래가격결정모형(APT)이라고 합니다.
$E(r_i) = E(r_z) + [E(F_1) - E(r_z)]{\beta}_{i1} + ... + [E(F_k) - (E(r_z)]{\beta}_{ik}$ ---(17)
한편, APT의 식(16)에서 만일 $F$가 시장포트폴리오 수익률이라면 $E(r_i) = r_f + [E(r_M) - r_f]{\beta}_i가 되어 APT는 CAPM과 같게 됩니다. 따라서 CAPM 은 APT에서 자산의 수익률을 설명하는 공통요인이 시장포트폴리오 하나뿐인 특수한 경우에 해당합니다. 하지만 CAPM 과 달리 일반적인 식(17)의 APT에서는 요인의 수가 몇 개인지 그리고 그 요인이 무엇을 의미하는지 명확하게 알려져 있지 않습니다.
$\P$ 예를 들어 , 2개의 증권으로 구성된 포트폴리오의 경우,
$w_1 + w_2 = 0$ $a_0(w_1 + w_2) = 0$
$w_1{\beta}_1 + w_2{\beta}_2 = 0$ $\rightarrow$ $+ )a_1(w_1 {\beta}_1 + w_2 {\beta}_2) = 0$
${\over (a_0 + a_1 {\beta}_1)w_1 + (a_0 + a_1 {\beta}_2)w_2 }$ $\Rightarrow$ $E(r_1)w_1 + E(r_2)W_2 = 0$
따라서 $E(r_1) = a_1 + a_1 {\beta}_1$ $E(r_2) = a_0 + a_1{\beta}_2$
| 여러분은 어떤 기업에 투자하기로 결정을 내리셨나요~ 그럼, 당신의 성공투자를 위해 행운을 빌겠습니다. 굿럭 Good luck~!👍 |
| 🔖 위 모든 내용과 자료는 참고용일 뿐, 투자는 본인 자신의 기준으로 결정하시기 바랍니다. 투자의사결정과 결과에는 투자자 본인이 스스로 책임을 지도록 합니다. |
위 컨텐츠 이용 및 데이터 이미지 분석에 대한 자세한 설명과 문의는 이메일로 연락주시면 답변드리겠습니다.
<무단전재 및 재배포 불가> 감사합니다
📚 참고 자료
'가치평가 Valuation' 카테고리의 다른 글
| 주식 가치평가 간단한 계산방법 - 재무제표 활용(PER, EV/EBITDA, PBR, ROE, SOTP) (0) | 2022.02.06 |
|---|---|
| CAPM 과 APT의 비교 (1) | 2022.01.30 |
| CAPM 자본자산가격결정 모형의 이용 - 적정할인율, 차익거래, 투자성과분석 (1) | 2022.01.27 |
| CAPM 자본자산가격결정 모형의 도출 - SML 증권시장선 (0) | 2022.01.27 |
| CAPM 자본자산가격결정 모형의 기초 - 가정, 시장포트폴리오, CML 자본시장선 (0) | 2022.01.26 |

댓글