
목차
제1부 | 가치평가는 어떻게 하는가
제2부 | 기업의 사이클에 따른 가치평가
제3부 | 특별한 업종의 가치평가
제1부 | 가치평가는 어떻게 하는가(가치평가 공통점)
1. 가치, 건강한 투자의 시작 (가치평가의 중요성)
2. 실전에 꼭 필요한 투자 도구들(시간가치와 투자 위험, 통계 활용하기)
3. 내재가치, 기업을 비추는 거울(내재가치 구하는 법)
4. 상대적으로 싼가, 비싼가(상대가치 구하는 법)
▶ 평가 방법 선택
- 주주가치(=기업가치 – 채권자 가치) or 기업가치
- 접근법(내재가치 평가 or 상대가치 평가)
- 가치의 핵심 요소가 무엇인가
▶ 분석순서: 기업가치 → 주주가치(기업가치 + 현금 + 상호지분 – 부채)
<가치평가 기본분석 방법 참고>
| 기본분석 | 가치평가(Valuation) |
| 주식가치(Equity Value) | = 주당가격 x 발행주식 총수 = 기업가치(Enterprise Value) - 순부채(Net Dept) |
| 기업가치(Enterprise Value) | = 주식가치(Equity Value) + 순부채(Net Dept) |
| 순부채(Net Value) | = 이자부담금(IBD,Interest Bearing Debt) – 현금자산 |
▶ 접근법에 따른 가치평가
▣ 내재가치 평가 : 기업을 비추는 거울
Q. 주어진 현금흐름과 위험에 비해 저평가 되어있는가?
→ 변수 추정치 명확하게 설정
▣ 상대가치 평가: 상대적으로 싼가, 비싼가
Q. 시장이 다른 기업들을 평가하는 수준을 감안할 때 싸게 거래되고 있는가?
→ 기업 간 차이점 변수 조정 반영
🎯 기업의 가치 : 기존자산 현금흐름, 기대성장률, 위험의 3가지 요소에 의존
1. 가치, 건강한 투자의 시작 (가치평가의 중요성)
❏ 가치평가에 대한 서로 다른 접근법
- 내재적(intrinsic) 접근과 상대적(relative) 접근
❏ 가치평가가 중요한 이유
- 다양한 투자 철학: 반등 직전 타이밍, 성장 or 이익 잠재성, 차트베팅(기술분석?), 현금흐름 기본분석
- 산출 방법: 시장 타이밍, 저평가 vs. 고평가, 상대가치, 추세선, 모멘텀분석
- 공정가치(fair value) 로의 전환
❏ 가치평가에 대한 3가지 불편한 진실
- 가치평가는 한쪽으로 치우치게 마련이다
- 대부분의 가치평가는 틀리게 마련이다
- 단순한 것이 더 좋을 수 있다
❏ 남들보다 덜 틀리면 된다
2. 실전에 꼭 필요한 투자 도구들(시간가치와 투자 위험, 통계 활용하기)
❏ 도구 1: 현금흐름과 시간가치
- 현재가치(present value): 미래 한 시점의 1달러가 오늘 시점에 어느 정도 가치인지 계산
- 미래의 현금흐름이 현재의 현금흐름보다 낮은 가치를 가지는 3가지 이유
① 사람들은 미래에 소비하는 것보다 지금 소비하는 것을 선호한다.
② 물가 상승은 시간이 지날수록 현금의 구매력을 감소시킨다. (현재 1$ ≠ 미래 ? ≤)
③ 미래에는 기대된 현금흐름이 나타나지 않을 수도 있다.(기다림 위험 존재)
- 할인과 할인율(discount rate):
→ 할인율: 기대 실질수익률(소비 선호도 반영), 기대 인플레이션, 현금흐름 불확실성 프리미엄으로 구성
→ 할인: 미래의 현금흐름을 현재 시점의 현금흐름으로 변환 시키는 과정
- 현금흐름: 금융자산의 필수 구성요소
채권, 주식, 부동산 가치를 현금흐름으로 할인할 수 있다면 가치평가 가능
→ 단순 현금흐름, 연금 현금흐름, 성장성 연금 현금흐름, 연구 연금 현금흐름, 성장성 영구 연금 현금흐름
▣ 단순 현금흐름: 미래의 특정기간 동안 발생하는 단 하나의 현금흐름

▣ 연금 현금흐름: 정해진 기간 동안 일정한 간격을 두고 일정하게 발생하는 현금흐름

사례) 자동차 한대 구입 방법 2가지
첫번째 방법, 자동차 값 1만 달러로 바로 현찰 지불
두번째 방법, 할부로 5년간 연말마다 3,000달러를 지급(할인율 12%)

⇒ 현재 시점에서 계산해 보면 할부 방식으로 구매하는 것보다 현찰 지불이 비용 저렴
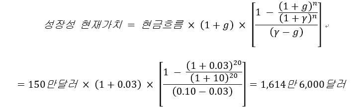
▣ 성장성 연금 현금흐름: 특정 기간 동안 일정한 비율로 성장하는 현금흐름
사례) 금광 채굴권
지난해 150만 달러의 현금흐름 발생, 향후 20년간 매년 3% 성장 현금흐름(10%할인율)

⇒ 광산 채굴된 금의 현재가치는 1,614만 6,000달러 현금흐름 가치
성장률이 높아질수록 할인률이 낮아질수로 가치는 증가
▣ 영구 현금흐름: 일정한 가견으로 일정한 현금흐름이 영원히 발생하는 것

사례) 콘솔 채권(Console bond)
고정이자 영원히 지급(할인율 9%), 매년 60달러의 이자 지급
60달러 0.09 = 60달러 / 0.09 = 667달러
⇒ 콘솔 채권의 가치는 667달러 현금흐름 가치
▣ 성장성 영구 현금흐름: 일정한 성장률로 영원히 발생하는 현금흐름(일정한 성장률로 영원히 지속)
성장성 영구 현금흐름은 성장률 < 할인율 또는 경제 명목 성장률 보다 낮아야 한다.
(이유: 경제가 성장하는 속도보다 더 빠르게 성장하는 현금흐름을 영원히 발생시키는 자산은 존재 X)

사례) 배당주식
배당금 매년 2%씩 영원히 증가 예상, 위험 8%

⇒ 배당주의 가치는 34.00달러 현금흐름 가치
❏ 도구 2: 투자 위험에 대한 기초 지식
- 포트폴리오의 위험(해리 마코위츠 Harry Markowitz, 1950년대): 시장위험 분산 불가능 위험
총 투자금, 개별주식, 주가 상관관계, 분산투자
사례) 디즈니(Disney)
애니메이션 영화, 놀이공원 관광객(홍콩), 텔레비전 산업(디즈니자회사 ABC방송사)
거시 경제 요인: 금리인상, 불경기
- 자본자산가격결정모형(capital asset pricing model, 1960년대): 가정, 거래비용X, 모든 정보공유
→ 시장 포트폴리오(Market Portfolio): 각 투자자는 거래되는 모든 자산으로 구성되어 있는 최고 분산
(이유: 분산 비용 X 분산 X 이익X, 각 투자자는 거래되는 모든 자산으로 구성)
→ 베타(beta, β): 시장 포트폴리오 위험의 상대적 위험을 나타내는 수치(경기방어<1<경기민감)
개별주식에 대한 투자 기대수익률 = 무위험이자율 + 베타 X (시장의 위험 프리미엄)
- 다중베타모형: 서로 다른 유형의 시장 위험에 대해, 각 시장 위험에 대한 노출 수준을 나타내는 베타 값을 분산된 포트폴리오에 적용해 주식의 위험 측정
- 프록시모형: 과거에 높은 수익률을 기록한 주식들의 특성을 파악해 이를 위험을 측정
- 모형의 결점들:
① 위험은 발생한다.
② 어떤 투자는 더 위험하다.
③ 위험의 가격은 가치에 영향을 준다. 그리고 시장은 이 가격을 결정한다.
❏ 도구 3: 기초적인 회계 지식
- 재무제표 세종류:
재무상태표(소유자산, 자산가치, 자본, 부채),
손익계산서(영업활동 정보, 수익성),
현금흐름표(기업 영업활동, 재무활동, 투자활동으로부터 현금 창출과 소비 구체화)
- 자산가치 측정: 비유동자산(땅, 건물, 기계), 장기 자산
- 감가상각: 자산에 지불한 애초의 금액으로부터 시작해(역사적 원가) 자산의 진부화에따른 가치만큼 차감
- 단기자산(유동자산): 재고자산(원재료, 재공품, 제품), 매출채권(외상매출금과 받을 어음), 현금
- 연결 재무제표: 회사가 다른 회사의 지분을 50%이상 보유하는 특별한 경우(자회사), 자회사에 대한 소액 주주지분의 몫을 모두 포함해 자회사의 자산과 부채를 모두 모회사의 재무제표에 기록
- 무형자산(영업권): 한 기업이 다른 기업을 취득할 때 발생, 먼저 지불된 가격은 취득된 기업이 가지고 있던 자산들의 항목으로 배분. 취득된 기업의 자산가치를 초과해 지불된 금액은 영업권 항목의 자산 기록
- 무형자산: 브랜드 가치, 고객 충성도, 숙련된 노동력
- 유동부채: 매입채무, 단기 차입금과 같이 회계 기간 내에 만기를 두고 있는 부채
- 자기자본: 주식 발생시에 기업이 조달한 최초 금액, 이후 발생한 이익(손실)에 의해 증가(감소)하거나 배당금 지불이나 자사주 매임에 의해 감소
- 손익계산서: 두가지 원칙
(1) 발생주의 회계 - 제품이나 서비스의 판매를 통해 발생한 매출은 제공되는 기간 비용 발생
(2) 영업활동, 재무활동, 투자활동으로 인한 비용의 분류
🔖 영업활동: 해당 기간에 이익에 기여한 비용(상품 생산에 노동이나 원재료 비용)
🔖 재무활동: 사업을 위해 끌어들인 자금으로부터 발생하는 비용(이자비용)
🔖 투자활동: 여러 해 동안 이익을 창출해 낼 것으로 기대되는 비용(기계장치나 건물 매입비용이 감가상각으로 여러 해에 걸쳐 분산)
영업이익 = 매출액 – 영업활동 비용 – 감가상각비
순이익 = 영업이익 – 이자 – 세금
- 수익성 측정: 매출액 대비 이익의 규모 비교
영업활동 기준: 영업이익률 = 영업이익 / 매출액
주식투자자들 관점: 순이익률 = 순이익 / 매출액
- 자본이익률(ROC) 또는 투하자본이익률(ROIC)

→ 투하자본이익률(ROIC)은 기업이 어떤 산업에 속했는지에 따라 매우 다르게 나타나는데, 흔히 경쟁이 심한 성숙산업일수록 낮게 나타나는 경향이 있다.

→ 자기자본이익률(ROE)은 주식투자자들에게 돌아가게 되는 이익(세금, 이자비용을 차감한 순이익)을 주식투자자들의 투자금인 자기자본에 비교함으로써 주식투자자 관점에서의 수익성을 설명해 준다.
- 재정 재무상태표: 기업의 미래 지향적인 정보
<재정 재무상태표>
| 항목 | 설명 |
| 기존자산 | 현재의 현금흐름 창출 능력을 반영한 기존 자산의 가치 |
| + 성장 자산 | 기업이 미래에 창출해 낼 것으로 기대되는 자산의 가치 |
| = 기업가치 | 기존 자산과 성장 자산의 합으로 기업의 가치를 나타냄 |
| - 부채 | 영업활동을 통해 현금흐름이 창출되면 이에 대해 채권자가 가장 먼저 권리(이자비용에 대한)를 주장함 |
| = 자본가치 | 주식투자자들은 이자비용 지급 이후의 나머지 부분을 취함 |
- 미국과 국제 회계 기준은 ‘공정가치’ 회계를 지향하고 있다. 이러한 기조는 회계 재무상태표를 재정 재무상태표에 더 가깝게 만들어 갈 것이다.
❏ 도구 4: 간단한 통계 지식과 데이터 활용법
- 평균, 분산과 표준편차
- 도수분포: 수많은 데이터들을 개별 값(혹은 구간)으로 분류하고 분포 위치 표현
<정규 분포와 한쪽으로 치우친 분포>

① 왜도(skewness)는 왼쪽 편도의 경우는 왜도 값이 – 값(왜도<0)으로 나오고, 정규분포는 0(왜도=0)이되며, 오른쪽 편포는 + 값(왜도>0)이 나온다.
② 좌우대칭 정규분포가 아닌 한쪽으로 치우친 편도의 경우 평균(mean) 값보다는 중앙(median)값을 따르는게 더 좋은 지표가 될 수 있다.
- 상관관계: 두 변수가 서로 어떻게 움직이는지를 나타내는 가장 단순한 수치
<물가상승률에 대한 금리의 산포도>

- 양의 상관관계: 물가상승률이 올라갈 때 금리가 올라가는 경우
- 음의 상관관계: 물가상승률이 올라갈 때 금리가 내려가는 경우
- 0의 상관관계: 두 변수가 서로 아무런 영향을 주고 받지 않는 경우
금리 = 1.5% + 0.8 x 물가상승률,
결정계수(R-Squared) = 60%
- 다중회귀모형에서는 서로 독립적인 몇가지 변수들을 통해 종속적인 변수를 설명할 수 있다. 결정계수는 독립적인 변수 또는 변수들에 의해 종속 변수가 어느정도 설명될 수 있는지의 비율을 나타낸다.



❏ 도구상자는 가득 찼다
- 시간가치의 개념은 시간을 가로질러 현금흐름을 비교하는 데 사용될 수 있다.
- 위험-수익 모형은 기업에 투자할 때 따르는 비용을 산출할 수 있도록 해주며, 연장선상에서 기업의 가치를 측정할 수 있도록 도와준다.
- 이익과 현금흐름에 대한 많은 데이터는 재무제표로부터 나온다.
- 수많은 데이터를 압축하고 항목간의 관계에 대한 의미를 알려주는 통계적 방법은 귀중한 통찰력을 제공한다.
3. 내재가치, 기업을 비추는 거울(내재가치 구하는 법)
❏ 기업의 가치와 자기자본의 가치
❏ 내재가치 추정을 위한 4가지 변수
: 현금흐름, 위험, 성장률, 영구가치- 기업의 가치와 자기자본의 가치
- 현금흐름

- 위험

자기자본비용 = 무위험이자율 + 베타 x 자본 위험 프리미엄
이자보상배율 = 영업이익 / 이자비용
세후 타인자본비용 = (무위험이자율 + 디폴트 스프레드) x (1 – 한계세율)
- 성장률
① 기준: 순이익, 주당 순이익, 영업이익 등
② 평균: 산술평균, 기하평균
- 영구가치

- 철저하게 마무리 짓기

❏ 이 모델이 우리에게 말해 주는 것은 무엇인가
🎯 이 모델의 의미
: 추정한 현금흐름과 위험으로 구한 내재가치가 시장가격과 매우 다르다면 어떻게?
🔖 세가지 가능성
① 미래의 성장이나 위험에 대해 비현실적이거나 잘못된 가정을 했을 경우
② 전체 시장에 대한 위험 프리미엄을 측정하는데 오류가 있었을 가능성
③ 추정한 가정치가 맞을 경우, 즉 시장가격이 틀렸을 경우 → 수익보장 x
❏ 내재가치는 모든 것을 반영한다
- 기업의 내재가치는 기업의 기초 체력(펀더멘탈)을 반영한다.
4. 상대적으로 싼가, 비싼가(상대가치 구하는 법)
❏ 표준화된 가치 & 주가배수
주주의 시장가치: 주당 가격 또는 시가총액
기업의 시장가치: 자기자본과 부채의 시장가격 합계
영업자산의 시장가치 또는 기업가치: 자기자본과 부채의 시장가격을 더한 값에서 현금차감
❏ 주가배수의 4단계 활용법
1단계: 정의(PER, PBR, PSR, EV/EBITDA, PEG)
2단계: 묘사(그래프의 평균값과 중앙값)
3단계: 분석(기대성장률, 자기자본비용(ROE), 배당성향)
4단계: 적용(현금흐름, 성장 잠재력, 위험 수준)
🔖 공식


EBIT* : 금리(이자) 및 세금 지불 이전의 수익
<상대가치평가 배수의 종류와 변수>
| 배수 | 변수 |
| PER | 기대성장률(↑), 배당성향(↑), 위험(↓) |
| PBR | 기대성장률(↑), 배당성향(↑), 위험(↓), ROE(↑) |
| PSR | 기대성장률(↑), 배당성향(↑), 위험(↓), 순이익률(↑) |
| EV/FCFF | 성장률(↑), 자본비용(↓) |
| EV/EBITDA | 기대성장률(↑), 재투자 비율(↓), 위험(↓), ROIC(↑), 법인세율(↓) |
| EV/Capital | 기대성장률(↑), 재투자 비율(↓), 위험(↓), ROIC(↑) |
| EV/매출액 | 기대성장률(↑), 재투자 비율(↓), 위험(↓), 영업이익률(↑) |
<배수와 저평가의 특징>
| 배수 | 변수 | 저평가 주식의 특징 |
| PER | 기대성장률 | 저 PER + EPS의 높은 기대성장률 |
| PBR | ROE | 저 PBR + 높은 ROE |
| PSR | 순이익률 | 저 PSR + 높은 순이익률 |
| EV/EBITDA | 재투자비율 | 저 EV/EBITDA + 낮은 재투자 비율 |
| EV/Capital | 투하자본이익률 | 저 EV/Capital + 높은 투하자본이익률 |
| EV/매출액 | 세후 영업이익률 | 저 EV/매출액 + 높은 세후 영업이익률 |
- 기업의 가치 : 기존자산 현금흐름, 기대성장률, 위험의 3가지 요소에 의존
PEG = PER/성장률
❏ 내재가치 VS 상대가치
- 현금흐름할인모형과 상대가치평가
제2부 | 기업의 사이클에 따른 가치평가
5. 성장에 대한 기대의 가치 – 신생기업에 대한 가치평가
6. 더 높은 도약을 위해 – 성장기업의 가치평가
7. 연륜에서 오는 저력 – 성숙 기업의 가치평가
8. 지는 해는 되돌릴 수 없다 – 쇠퇴기업의 가치평가
제3부 | 특별한 업종의 가치평가
9. 보수적 투자자들의 오랜 투자처 – 금융 서비스 기업의 가치평가
10. 롤러코스터를 탄 투자 – 경기 순환 기업과 원자재 관련 기업의 가치평가
11. 보이지 않는 것의 가치 – 무형자산 기업의 가치평가
<섹터와 수명 주기에 따른 가치 창출 요인>
| 분류 | 가치 창출 요인 | |
| 기업의 사이클에 따른 가치평가 |
신생 선장기업 | 매출액 성장, 목표 이익률, 생존 가능성 |
| 성장기업 | 성장률 확대, 지속 가능한 이익률 | |
| 성숙기업 | 영업적인 침체, 재정적인 문제, 경영 변화의 가능성 | |
| 쇠퇴기업 | 계속기업의 가치, 파산 가능성, 파산의 결과 | |
| 특별한 업종의 가치평가 | 금융서비스 기업 | 자가자본 위험, 성장의 질(자기자본이익률), 자본 규제의 장애물 |
| 원자재 관련 및 경기 순환 기업 | 정상화된 이익, 초과 수익률, 장기 성장률 | |
| 무형자산 기반의 기업 | 무형자산의 성격, 무형자산 투자의 효율성 |
결론 – 실전에서 가치평가하기
성공투자의 3가지 변수 + α
(1) 가치평가의 질: 좋은 정보
(2) 시장의 반응: 시장 가치와 가격괴리
(3) 운(運, luck) : 분산투자
“가치평가, 이제 즐겨라”
|
| <감상평> |
이 책에서는 …
어려운 수학과 통계학 지식 대신에 중학교 수준의 2차 방정식 만 알고 있다면, 이해 할 수 있도록 공식들을 아주 쉽게 설명해주고 있습니다.
주로 덧셈(+)과 뺄셈(-) 나눗셈(/) 곱셈 (x) 가장 어려운게 제곱승 개념이 조금 들어 갑니다.
그러나 세무와 회계원리 그리고 재무적 지식을 위한 어려운 모형들까지도 이분이 설명해 준 방식이라면 이 업에 종사하지 않은 일반인이 접근하기에도 전혀 부담스럽지 않게 쓰여져 있습니다.
그러나 다만, 압축 요약 설명에 깊은 내공이 담긴 인사이트를 전부 이해한다고 하기에는 …
이책을 통해서 무엇을 더 공부해야 하는지 찾아보고 싶게해서 스터디 할께 더 많아진다는게 함정입니다. ㅎㅎ
가치평가에 있어서 많은 지표들을 간략하고 이해하기 쉽게 설명해주시면서도, 각 산업에 해당하는 평가를 PER 기준 하나로 다양하게 변형시켜서 적용하는 방식은 정말이지... 역시 대가다운 모습이 이런거구나를 깨닫게 해줍니다. 실전 투자에 대한 깊이와 이해가 없이는 학문적 지식만으로는 해낼 수 없는 다모다란 교수님의 천재성을 다시 한번 발견하게 됩니니다.
이책은 결론에서는
실전 원칙 10가지와 함께 성공 투자의 3가지 변수와 그 이상에 대해 설명했습니다.
성공 투자를 위해 가치평가의 질을 위해 좋은 정보를 취합할 것과 시장의 민감한 반응에 따라 가치와 가격의 괴리를 바로 잡아야 하고 투자자의 심리까지 일깨워 주셨습니다.
그리고, 마지막 변수로 운(運, luck) 에 대해 언급해 주셨는데, 공정함을 위해? 서라도 확률이 낮은 행운을 높이기 위해 저평가된 여러기업에 분산투자함으로서 보상받을 수 있다고 귀뜸해 주셨습니다.
가장 위로가 되었던 부분은…
전문 분석 애널리스트 조차도 우리가 여기서 배운 분석방법보다 깊지 않기에 겁먹을 필요가 없다는 것이었습니다.
우리가 취한 정보량(기업 공시자료와 뉴스 등)과 현업으로 종사하시는 분들의 정보가 더 낳을 수도 있겠다는 생각도 들었습니다.
그냥 계속해서 가치평가 방식으로 분석하고 실패를 두려워 하지 말라는 것입니다.
그러면, 언젠가는 그 어렵게만 느껴진 Valuation 가치평가를 즐기게 되는 기쁨을 느낄수 있다는 것입니다.
| 그럼, 여러분들의 성공투자를 위한 행운을 빌겠습니다. 굿럭 Good luck~!👍 |
위 컨텐츠 이용 및 데이터 이미지 분석에 대한 자세한 설명과 문의는 이메일로 연락주시면 답변드리겠습니다.
<무단전재 및 재배포 불가>
감사합니다
| <참고 자료> |
| 위 내용은 애스워드 다모다란 (Aswath Damodaran) 교수님의 <<주식 가치평가를 위한 작은책>> 으로부터 내용 발췌하였습니다. |
📚 해외 출간 도서

|
|
1st Edition
|
2nd Edition
|
3rd Edition
|
4th Edition
|
| Applied Corporate Finance | Preface Webpage |
Preface Webpage |
||
| Corporate Finance | Preface Webpage |
|
||
| Damodaran on Valuation |
|
|||
| Investment Valuation | ||||
| The Dark Side of Valuation | ||||
| The Little Book of Valuation |
|
|
||
| Investment Management |
|
|
||
| Investment Philosophies |
|
|||
| Investment Fables |
|
|
||
| Narrative and Numbers | Preface Webpage |
|||
| Strategic Risk Taking |
|
|
I also have chapters in other books that you may find useful (or not). Here is a listing
| Book | My contributions |
| QFinance book | The full book My chapter on country risk My chapter on company exposure My chapter on valuing young, start-up companies |
| IFC Risk Management Book |
📚 국내 번역 도서
| 다모다란 교수님 저서 | |
![]() |
![]() |
![]() |
![]() |
📚 참고 사이트

Damodaran Online: Home Page for Aswath Damodaran
pages.stern.nyu.edu

Aswath Damodaran
I teach corporate finance, valuation and investment philosophies at the Stern School of Business at New York University. I intend to have online versions of all three courses here, as well as other finance-related videos. 1. The Corporate Finance Online pl
www.youtube.com
다모다란 교수의 블로그
다모다란 교수의 기업가치평가 수업 자료
Investment Valuation 3rd edition
다모다란 교수의 클래스
다모다란 교수 Investment fables
Determinants of the PE ratio
Determinants of Price to Book Ratios
Calculating EVA
'가치평가 Valuation' 카테고리의 다른 글
| 주식 가치평가 - 애스워드 다모다란 교수의 10계명 실전 원칙 (0) | 2022.05.15 |
|---|---|
| 다모다란 교수의 주식 가치평가 - 경기 순환 기업과 원자재 관련 기업(자동차,원유, 철강) (1) | 2022.05.15 |
| 전체 기업 시장가치 평가 - EV/EBITDA (0) | 2022.04.22 |
| CAPM 자본자산가격결정모형의 정리 - 체계적위험, 베타계수, SML, NPV, IRR (2) | 2022.02.06 |
| 주식 가치평가 간단한 계산방법 - 재무제표 활용(PER, EV/EBITDA, PBR, ROE, SOTP) (0) | 2022.02.06 |





댓글